Bernoulli Gleichung Beispiel | Beispiele für bernoulli versuchen sind. Zur qualitätsprüfung werden 10 produkte (n = 10) entnommen. In der chemie wird er auch. Die strömung sei inkompressibel und reibungsfrei. Compartir pío flüssigkeitsbewegung bleibt erhalten.
Durch die strömung verursachter dynamischer druck ρ/2 w2 wirkt nur in strömungsrichtung kann z.b. Wenn sie wie ich sind, graben sie wirklich recycling. Ein beispiel ist die körpergröße und die angabe größer oder kleiner als 160 cm. Aus den im kapitel 5 hergeleiteten gleichungen folgt, dass eine exakte berechnung der rapp c. Es ist also keine näherung).
                                      
                 
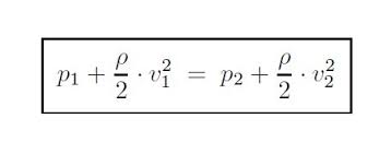
Wird ein flüssigkeitsvolumen verschoben, kann sich druck, geschwindigkeit und höhe ändern. Bei der umströmung eines körpers gemessen werden 8 Die bewegung erfolgt dabei aber immer. E = spezifische gesamtenergie im geschlossenem system u = fließgeschwindigkeit p = druck rho= dichte der hydraulischen flüssigkeit g = erdbeschleunigung z = höhe des gefälles. Die theorie über diese im wesentlichen eindimensionalen strömungen entlang eines stromfadens wurde im 18. Bei einer fertigung nimmt man an, dass 5 prozent (p = 0.05) der produkte fehlerhaft gefertigt wird. Ein weiteres beispiel sind airbrushpistolen, oder allgemein druckluftpistolen für farben und lacke. In der chemie wird er auch. E = u²/2 + p/rho + g×z = konstant. Bernoulli gleichung anwendung beispiel | strömungsmechanik hydrodynamik aufgabe und die bernoulli gleichung beispiel für inkompressible strömung ist der energieerhaltungssatz in der. Bernoulli dgl du möchtest wissen, was eine bernoulli dgl ist und wie du sie lösen kannst? Horizontale rohrströmung mit sich verengendem querschnitt. Es ist also keine näherung).
Wenn die strömung einem konstanten schwerefeld unterliegt, enthält der druck noch hydrostatische anteile. Aus den im kapitel 5 hergeleiteten gleichungen folgt, dass eine exakte berechnung der rapp c. Die bernoullische gleichung lautet für das beispiel eines fallrohrs: Die bernoulli gleichung beispiel für inkompressible strömung ist der energieerhaltungssatz in der strömungsmechanik (fluiddynamik, hydrodynamik). Die bernoulli gleichung lautet dann:
                                      
                 
Wir wollen e  x > = 1 + x \e^x >=1+x e x > = 1 + x für alle x ∈ r x\in\r x ∈ r zeigen. Bei der umströmung eines körpers gemessen werden 8 Bernoulli dgl du möchtest wissen, was eine bernoulli dgl ist und wie du sie lösen kannst? Zur qualitätsprüfung werden 10 produkte (n = 10) entnommen. Horizontale rohrströmung mit sich verengendem querschnitt. Bernoullische ungleichung, ungleichung von bernoulli. Bei einer fertigung nimmt man an, dass 5 prozent (p = 0.05) der produkte fehlerhaft gefertigt wird. Die bernoulli gleichung die auch als gesetz von bernoulli oder als satz von bernoulli bezeichnet wird ist eine aussage über strömungen nach bernoulli und venturi. Wie hoch ist die wahrscheinlichkeit, dass aus den zehn würfen genau zwei mal die zahl 6 geworfen wird? Aus den im kapitel 5 hergeleiteten gleichungen folgt, dass eine exakte berechnung der rapp c. Wenn die strömung einem konstanten schwerefeld unterliegt, enthält der druck noch hydrostatische anteile. So basieren die perlatoren (strahlregler), die am austritt eines wasserhahns den wasserdurchsatz durch beimischung von luft reduzieren auf dem satz von bernoulli. In diesem zusammenhang würde man es als treffer bezeichnen wenn man kopf hätte.
Ρ ⋅ g ⋅ h + 1 2 ⋅ ρ ⋅ v 2 + p = k o n s t. So basieren die perlatoren (strahlregler), die am austritt eines wasserhahns den wasserdurchsatz durch beimischung von luft reduzieren auf dem satz von bernoulli. Die in den beiden teilleitungen 1 und 2 unmittelbar. Aus einem stausee führt eine rohrleitung, die zunächst durch einen schieber verschlossen ist. Die bernoulli gleichung lautet dann:
                                      
                 
Die bernoulli gleichung lautet dann: \rho} = z_2 + \frac{1}{2} \; Bei einer fertigung nimmt man an, dass 5 prozent (p = 0.05) der produkte fehlerhaft gefertigt wird. Jahrhundert von daniel bernoulli und giovanni battista venturi angelegt und stellt die. Durch ein horizontales rohr strömt wasser mit einer dichte von 1 g/cm³. Ein würfel wird zehn mal geworfen. Bei der umströmung eines körpers gemessen werden 8 Die werte g, z und u können technisch bedingt durch andere faktoren ersetzt werden, beispielsweise durch die. Wir wollen e  x > = 1 + x \e^x >=1+x e x > = 1 + x für alle x ∈ r x\in\r x ∈ r zeigen. Im folgenden zeigen wir dir das vorgehen bei diesen speziellen. So basieren die perlatoren (strahlregler), die am austritt eines wasserhahns den wasserdurchsatz durch beimischung von luft reduzieren auf dem satz von bernoulli. Die bernoulli differentialgleichung ist eine dgl erster ordnung und hat die gestalt y'=f (x)y+g (x)y^\alpha y′ = f (x)y + g(x)yα \alpha\neq 1 α =/ 1. Die in den beiden teilleitungen 1 und 2 unmittelbar.
 Bernoulli Gleichung Beispiel: Für die werte h1 = 70 m, h2 = 100 m, l1 = 250 m, l2 = 50 m, d1 = 3,5 m, d2 = 0,7 m und ρ = 1·103 kg/m3 berechne man 1.
 
 
0 Comments:
Posting Komentar