Gleichungen Mit Klammern Lösen | Bei einer gleichung handelt es sich um einen mathematischen ausdruck auf der linken es gibt keine andere zahl, die wir in x einsetzen könnten, damit die gleichung aufgehen, somit hat diese gleichung genau eine lösung. Gleichung lösen fällt dir schwer? Lösen sie online eine differentialgleichung des ersten grades. Wir zeigen dir anhand von beispielen und lernvideos, wie ihr gleichungen einfach lösen könnt. Lineare gleichungen lösen fällt dir schwer?
Eckige klammern sind nicht möglich, stattdessen werden mehrere runde klammern ineinander geschachtelt. Auf die gleiche weise kann man immer vorgehen: Es werden verschiedene ansätze je nach gleichungsart unterschieden: In diesem abschnitt beschäftigen wir uns mit dem lösen linearer gleichungssysteme mit mehr als einer variablen. Wie man klammern unter berücksichtigung des vorzeichens auflöst.
                                      
                 
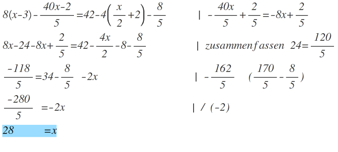
Wie man gleichungen mit klammern löst, lernt ihr hier. Ich muss diese aufgaben durch termumformungen und äquivalenzumformungen lösen aber ich verstehe es nicht. Im unterschied zu linearen gleichungen muss man bei bruchgleichungen zu beginn die definitionsmenge bestimmen. Anschließend lösen sie die gleichung nach einem ihnen bekannten verfahren. Eine erklärung, wie man mit klammern in gleichungen umgeht. Das minuszeichen und die klammern entfallen, dafür werden alle vorzeichen in der klammer umgedreht. Erst die beiden seiten so weit wie möglich zusammenfassen und vereinfachen. In diesem abschnitt beschäftigen wir uns mit dem lösen linearer gleichungssysteme mit mehr als einer variablen. Gleichungssysteme mit zwei variablen lösen. Um gleichungen lösen zu können gibt es einige standardtechniken, die wir euch auf dieser seite zeigen. Wir zeigen dir anhand von beispielen und lernvideos, wie ihr gleichungen einfach lösen könnt. Wie löst man terme oder gleichungen mit klammern auf? Dabei zeigen wir euch zunächst, was es damit auf sich hat und wie man diese aufgaben erfolgreich meistert.
Видео 2.2 gleichungen mit klammern lösen канала sebastian schmidt. Lösen von gleichungen und ungleichungen in den zeilen 1, 2, usw. 2.2 gleichungen mit klammern lösen. Lösen von gleichungen durch umformung. Gefragt 7 okt 2017 von littlemix.
                                                      
Das lösen von gleichungen mit klammern haben wir ihnen in unterschiedliche kapitel aufgeteilt lösen von gleichungen, die binomische formeln enthalten. Seit anfang 2013 erstelle ich für meinen unterricht videos, die den schülern beim lernen helfen soll. 2.2 gleichungen mit klammern lösen. Dieser artikel hat mir geholfen. Erst danach wird das minuszeichen in die klammer hineinmultipliziert und damit die klammer aufgelöst. Eine äquivalenzumformung ändert die lösungen nicht, lässt sich aber klammern, vor denen ein minus steht, werden so behandelt: Lösen von gleichungen und ungleichungen in den zeilen 1, 2, usw. Lösen einer trigonometrischen gleichung (gleichung mit cosinus oder sinus). Der rechner löst nicht gleichungen mit x im nenner (bruchungleichungen). Lösen sie online eine differentialgleichung des ersten grades. Von jetzt an kannst du die gleichung wieder wie gewohnt lösen, indem du zunächst die variable auf eine seite und die zahlen auf die andere seite bringst. Bevor wir hier mit dem lösen von gleichungssystemen beginnen, muss eines. In diesem abschnitt beschäftigen wir uns mit dem lösen linearer gleichungssysteme mit mehr als einer variablen.
Wie man gleichungen mit klammern löst, lernt ihr hier. Gleichungssysteme mit zwei variablen lösen. Beispiele zu verschiedenen gleichungen mit klammern. Die wichtigste regel beim lösen solcher gleichungen, die du dir merken musst, ist dass du, was.1 x forschungsquelle diese regel ermöglicht es dir, klammern aufzulösen, indem du jeden. Gleichungen mit einer variable auf beiden seiten lösen.
                                      
                 
Gleichungen mit einer variable auf beiden seiten lösen. Auf die gleiche weise kann man immer vorgehen: Gefragt 12 okt 2015 von gast. Lösen von gleichungen durch umformung. 2.2 gleichungen mit klammern lösen. Jede termvereinfachung auf beiden seiten, wie zum beispiel klammern auflösen oder zusammenfassen ist eine gleichung immer lösbar hat eine gleichung immer nur eine lösung? Wie man klammern unter berücksichtigung des vorzeichens auflöst. Dieser artikel ist eine übersicht zum lösen von gleichungen. Die gleichung ist gelöst, ist also eine lösung der gleichung. Hier findest du leichverständliche erklärungen! Erst danach wird das minuszeichen in die klammer hineinmultipliziert und damit die klammer aufgelöst. Dieser rechner löst beliebige gleichungen mit zwischenschritten und ausführlicher erklärung. 180 739 просмотров 180 тыс.
 Gleichungen Mit Klammern Lösen: Der rechner löst nicht gleichungen mit x im nenner (bruchungleichungen).
 
 
Refference: Gleichungen Mit Klammern Lösen
0 Comments:
Posting Komentar